行業資訊
您現在的位置: 上海自動化儀表有限公司 > 新聞發布 > 行業資訊
詳解介紹關于電磁流量計所有基礎知識
來源:上海自動化儀表有限公司作者:發表時間:2018-12-28 08:52:06【小中大】
當電導體垂直于電磁場移動時,在該導體中感應出垂直于電磁通線和運動方向的電壓。這種現象被稱為電磁感應,它是所有機電發電機運行的基本原理。在發電機機構中,所討論的導體通常是由銅線制成的線圈(或線圈組)。但是,導體必須由銅線制成。運動中的任何導電物質都足以電磁感應電壓,即使該物質是液體。因此,電磁感應是一種適用于液體流速測量的技術。在實際意義上,使用這種技術只能測量液體流量。氣體必須在能夠導電之前被過熱加熱到等離子狀態,因此電磁流量計不能用于大多數工業氣體流動。考慮水流過管道,電磁場垂直穿過管道:

液體流動的方向垂直地穿過電磁通線,沿垂直于兩者的軸產生電壓。管壁中彼此相對的金屬電極攔截該電壓,使其對電子電路可讀。由導體通過電磁場的線性運動引起的電壓稱為運動EMF,其大小通過以下公式預測(假設速度方向,電磁通線的方向和軸之間的完美垂直度)電壓測量):
ε= Blv
其中,
ε=運動EMF(伏特)
B =電磁通密度(特斯拉)
l =通過電磁場的導體長度(米)
v =導體速度(米/秒)
假設固定電磁場強度(常數B)和電極間距等于管道的固定直徑(常數l = d),能夠影響感應電壓大小的唯一變量是速度(v)。在我們的例子中,v不是線段的速度,而是液體流的平均速度(v)。由于我們看到該電壓將與平均流體速度成比例,因此它也必須與體積流速成比例,因為體積流速也與平均流體速度成比例。因此,我們這里有一種基于電磁感應的流量計。這些流量計通常稱為電磁流量計或簡稱電磁流量計。我們可以通過代數替換更準確地說明體積流量(Q)和運動EMF(ε)之間的關系。首先,我們將編寫與體積流量相關的公式到平均速度,然后操縱它來求解平均速度:
Q = Av
Q / A = v
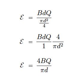
接下來,我們重新說明運動EMF方程,然后用Q / A代替v來得到一個關于運動EMF與體積流量(Q),電磁通密度(B),管徑(d)和管道的關聯方程區域(A):

既然我們知道這是一個圓管,我們知道,面積和直徑由式A =πD直接相關的相互2 /4進行。因此,我們可以將這個區域的定義替換為最后一個等式,以得到一個變量少一個的公式(只有d,而不是d和A):

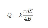
如果我們希望有一個根據運動EMF(ε)定義流速Q的公式,我們可以簡單地操縱最后一個方程來求解Q:

該公式將成功預測流量僅適用于絕對完美的情況。為了彌補不可避免的缺陷,“比例常數”(k)通常包含在公式中:

其中,
Q =體積流量(立方米/秒)
ε=運動EMF(伏特)
B =電磁通密度(特斯拉)
d =流量管直徑(米)
k =比例常數
注意這個等式的線性。我們在電磁流量計的等式中沒有遇到功率,根或其他非線性數學函數。這意味著無需特殊表征來計算體積流量。該公式必須滿足一些條件才能成功推斷出感應電壓的體積流量: 1、液體必須是相當好的電導體(注意:如果導電流體含有一些非導電固體,那么它是可以的;圍繞非導電固體物質的導電流體仍能提供感應所需的電極之間的電連續性)。2、管道必須完全充滿液體,以確保與兩個探頭接觸,并確保流過管道的整個橫截面。3、流量管必須正確接地,以避免液體中的雜散電流引起的誤差。4、在安裝之前仔細考慮過程液體滿足第一個條件。電磁流量計制造商將指定待測液體的最小電導率值。通過在管道中正確安裝電磁性流管來滿足第二和第三條件。必須以確保流量管完全溢流(無氣袋)的方式進行安裝。流量管通常安裝有水平相互交叉的電極(從不垂直!),因此即使是瞬間氣泡也不會破壞電極尖端和液體流動流之間的電接觸。與其他類型的流量計相比,上海自動化儀表有限公司電磁流量計具有多個優點。它們相當容忍渦流和其他大規模湍流流體行為,因為感應電壓僅與導體的垂直速度成比例,在這種情況下是流體沿流管中心線的速度。因此,電磁流量計不需要孔板上游和下游的長管直管,這在許多管道系統中是很大的優點。通常需要5個直徑的上游直管和3個直徑的下游直管要求。
此外,上海自動化儀表有限公司電磁流量計管的大開孔意味著絕對沒有任何限制流量,導致永久壓力損失極低。流體流動路徑中沒有任何障礙物意味著電磁流量計對液體流動流中的固體具有相當的耐受性,因此非常適合測量廢水,漿液,木漿和可能堵塞其他類型的食品等工藝液體。流量計。實際上,由于這個原因,電磁流量計是廢水,木材制漿和食品加工行業中主要使用的流量計技術。處理液的導電率必須滿足一定的最小值,但這就是全部。對于一些技術人員來說,令人驚訝的是,液體電導率的變化對流量測量精度幾乎沒有影響。液體電導率的加倍不會導致感應電壓加倍!運動EMF嚴格地取決于物理尺寸,電磁場強度和流體速度。電導率較差的液體在電壓測量電路中比具有良好導電性的液體具有更大的電阻,但這并不重要,因為檢測電路的輸入阻抗非常高。液體電導率對流量計操作的影響可以通過以下DC電路建模:

這里,液體電阻的十倍(一個數量級)變化幾乎不影響測量電壓(49.995mV對49.95mV),因為流量變送器的電壓感測電子電路具有如此高的輸入阻抗。液體的等效電阻值必須顯著增加,超出本例中所示的值,才能對流量測量精度產生任何顯著影響。實際上,流體傳導性是電磁流量計的唯一問題是當所討論的流體具有可忽略的導電性時。這些流體包括去離子水(例如蒸汽鍋爐給水,用于制藥和半導體制造的超純水)和油。大多數水性(水基)流體與電磁流量計一起工作良好。流量管的正確接地對于電磁流量計非常重要。由大多數液體流動流產生的運動EMF非常弱(1毫伏或更小!),因此可能容易被管道和/或液體中的雜散電流引起的噪聲電壓所掩蓋。為了解決這個問題,電磁流量計通常配備有接地導體,用于分流(旁路)流量管周圍的雜散電流,因此電極截獲的唯一電壓將是液體流動產生的運動EMF,而不是雜散產生的電壓降。電流通過液體的阻力。
下圖顯示了羅斯蒙特8700型電磁力傳感器,兩根編織線接地帶清晰可見,注意:編織導體在分流射頻電流方面做得更好,因為在非常高的頻率下,趨膚效應使導體的表面積在導電性方面比其橫截面積更大。

請注意兩個接地帶如何連接到流量管外殼上的公共連接點。當流量管安裝在生產線中時,該公共連接點也應粘接到功能性接地點。在這個特殊的傳感器上,您可以看到近法蘭面上的不銹鋼接地環,連接到其中一根編織接地帶。一個相同的接地環位于另一個法蘭上,但在這張照片中并不清晰可見。這些環在管道由塑料制成的管道中提供與液體的電接觸點,或者管道是金屬但是襯有塑料材料以防腐蝕的管道。
如果連接到電磁流量計的流量管的管道是導電的(例如金屬),則可以通過將金屬管的法蘭與接地帶連接到流量管體上的公共接地點來實現接地:如果連接到電磁流量計的流量管的管道是非導電的(例如塑料)或帶有絕緣襯里的導電管(例如帶有塑料襯里的金屬管),則管道法蘭的接地將毫無意義。為了使流量管接地有效,接地導體必須與流體本身具有電連續性。特殊的接地環可以夾在非導電管的凸緣之間,以提供與流體的電接觸點。然后將這些接地環與接地帶連接在一起,連接到流量管體上的公共接地點,如下所示:

一些電磁流量計的信號調節電子元件與流量管組件是一體的。這里顯示了幾個例子(左側是一對小型電磁流量計,右側是一個大型電磁流量計):

其他電磁流量計具有單獨的電子元件和流量管組件,通過屏蔽電纜連接在一起。在這些安裝中,電子組件稱為流量變送器(FT),流量管稱為流量元件(FE):

下一張照片顯示了一個巨大的(36英寸直徑!)電磁流元件(黑色)和流量變送器(藍色,在人的手上顯示為比例),用于測量城市污水處理廠的廢水流量:

注意垂直管道方向,確保在流動條件下電極和水之間的持續接觸。雖然理論上永電磁體應該能夠為電磁流量計提供必要的電磁通量才能起作用,但這在工業實踐中從未進行過。其原因與稱為極化的現象有關,當在包含離子的液體(帶電分子)上施加DC電壓時發生這種現象。帶電分子(離子)傾向于聚集相反電荷的極點附近,在這種情況下,它將是流量計電極。如果電磁流量計要使用諸如由永電磁體產生的恒定電磁通量,則這種“極化”將很快干擾運動EMF的檢測。該問題的簡單解決方案是交替電磁場的極性,因此運動EMF極性也交替并且從不給予流體離子足夠的時間來極化。這就是為什么電磁流量計管始終采用電磁線圈來產生電磁通而不是永電磁體的原因。流量計的電子組件以交替極性的電流激勵這些線圈,以便在移動的流體上交替感應電壓的極性。永電磁體具有不變的電磁極性,只能產生極性恒定的感應電壓,導致離子極化和隨后的流量測量誤差。一張上海自動化儀表有限公司電磁流量計圖片,其中一個保護蓋被移除,顯示這些線圈清晰(藍色):

最簡單的線圈激勵形式可能是線圈通過線路電源的60 Hz交流電源供電,例如上海自動化儀表有限公司傳感器的情況。由于運動EMF與流體速度和電磁場的電磁通密度成比例,因此這種線圈的感應電壓也將是60Hz正弦波,其幅度隨體積流速而變化。不幸的是,如果有任何雜散電流穿過液體以在電極之間產生錯誤的電壓降,那么它也可能是60Hz AC。由于線圈由60Hz AC激勵,任何這樣的噪聲電壓可能被錯誤地解釋為流體流動,因為傳感器電子設備無法區分流體中的60Hz噪聲和由流體流動引起的60Hz運動EMF。針對該問題的更復雜的解決方案使用用于流量管線圈的脈沖激勵電源。這被電磁流量計制造商稱為直流激勵,這有點誤導,因為這些“DC”激勵信號經常反轉極性,在示波器顯示器上看起來更像AC方波。其中一個流量計的運動EMF將呈現相同的波形,振幅再次成為體積流量的指標。傳感器電子設備可以更容易地抑制任何交流噪聲電壓,因為噪聲(60赫茲,正弦波)的頻率和波形與流動引起的運動EMF信號的頻率和波形不匹配。電磁流量計最顯著的缺點是對流量變化的響應時間較慢。為了實現“兩全其美”的結果,一些電磁流量計制造商生產雙頻流量計,它們以兩個混合頻率激勵其流量管線圈:一個低于60赫茲,一個高于60赫茲。由電極截取的所得電壓信號被解調并解釋為流速。
如需了解更多產品詳細信息,可咨詢上海自動化儀表有限公司分廠導航里的上海自動化儀表九廠欄目頻道。
上海自動化儀表有限公司推薦資訊
- 來自Digi-Sense的新型可靠耐用儀表由公司推2017-12-26
- 使用統計過程控制(SPC)和5合1解決方案控制您2019-02-13
- 上海自動化儀表有限公司帶您了解什么是渦輪2018-12-07
- 抗振壓力表更換成本:何時購買和節省2019-12-14
- 努力向著文明創建目標砥礪前行——公司再獲2025-03-29
- 科里奧利質量流量計具有令人難以置信的精度2018-10-30
- 上海知名老品牌的閥門系列產品已成功通過SI2018-01-17
- 側裝式磁翻柱(板)液位計的原理應用及維護須知2017-12-12
上海自動化儀表有限公司熱門產品
- 高性能泵頭經過上自儀公司重新設計可提高性2017-12-21
- 上海自儀國和一號示范工程海淡項目壓力和差2023-02-06
- 全面概括氣動調節閥的設計、工作性質及其應2019-11-07
- 用于過程儀表的變送器產品集結大全2018-11-29
- 如何校準壓力變速器以及壓力變送器的用途是2018-07-26
- 空氣閥門經過不斷改進與調整來滿足具有挑戰2018-02-23
- 提高空氣過濾減壓器系統效率的3個根本理由2019-10-28
- 差動遠傳壓力表中三個系統的工作準則2019-10-17

