行業資訊
您現在的位置: 上海自動化儀表有限公司 > 新聞發布 > 行業資訊
關于軸振傳感器測量干擾的分析與探討
來源:上海自動化儀表有限公司作者:發表時間:2020-03-21 16:56:08【小中大】
摘 要:某電廠百萬機組主機#6、#7 瓦曾多次發生軸振晃動現象,給機組的安全穩定運行帶來一定的影響。本文分析了軸振測量的組成、原理以及常見的晃動原因,并根據分析采取了相應的措施,取得了較好的效果。
1 概述
軸振即轉軸的徑向振動,是現代大型發電機組中一個非常重要的監測參數,對于機組的安全穩定運行起著非常重要的作用。軸振 的 測 量 一 般 采 用 電 渦 流 傳 感 器 測 得。某 電 廠1000MW 機組,主機#6、#7 瓦分別是發電機汽端和勵端軸瓦。自投產以來,#6、#7 瓦多次發生軸振指示晃動現象,嚴重影響了機組的運行安全。該軸振測量系統由振動探頭、前置器、監測卡件和電纜組成,其中,軸振探頭為 VM600 系列 8mm TQ402 渦流傳感器,分別安裝于#6、#7 瓦瓦座上。前置放大器安裝在環氧樹脂板上,輸出端分別為-24V 供電、COM 端和 OUT 端,屏蔽線在前置器處開路,在卡件處接地。
2 電渦流傳感器測量原理
前置器中生成的高頻震蕩電流,通過延長電纜進入探頭線圈,從而產生交變磁場。根據法拉第電磁感應原理,當被測金屬體靠近這個磁場時,則在該金屬表面產生感應電流,即電渦流。同時,該電渦流也產生一個與探頭線圈方向相反的交變磁場,從而使得探頭線圈的阻抗發生變化。前置放大器通過電子線路的處理,將該阻抗的變化轉化為電壓的變化進行輸出。一般情況下,該阻抗與金屬體磁導率、電導率、線圈幾何形狀、幾何尺寸、電流頻率、探頭線圈與金屬導體表面距離等參數有關。當我們在使用探頭時,除了距離外,前面幾個參數都是固定的,因此,探頭阻抗就成了與距離的單值函數。另外,互感M 隨線圈與導體距離的增大而減小。當距離變大時,互感變小,阻抗變大;當距離減小時,互感變大,阻抗減小。通過以上分析,我們可以認為,如果等效阻抗發生改變,前置器輸出電壓將會發生變化,在表現形式上,即等效于距離發生改變。
3 影響傳感器測量因素分析
下面我們分析影響傳感器測量的一些因素。原因 1:油污影響。在現場檢查時我們發現,探頭傳感器和前置放大器接插件處滲油嚴重,而且油污表面含有各種雜質,對探頭的絕緣性能產生了較大的影響。在某一時刻,可能會導致探頭的阻抗發生改變,從而使得軸振測量發生跳變。我們通過定期清擦滲油,發現軸振晃動的次數變少了。因此,通過以上觀察和分析,我們認為傳感器滲油會導致軸振測量發生變化。
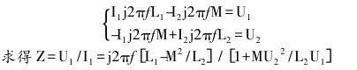
原因 2:導致軸振晃動的原因還有可能是軸電壓影響。軸電壓是指由于發電機磁場不對稱,發電機大軸被磁化,靜電充電等原因在發電機軸上感應出的電壓。通過之前的分析我們知道,電渦流傳感器是通過產生交變磁場作用于大軸的,由于傳感器線圈及大軸的阻值都很小,在此可以忽略,即設定 R 1 =0,R 2 =0。等效電路圖如下:

其中 R 1 、R 2 分別為探頭及導體電阻,M 為互感,L1 為探頭線圈,U 1 、U 2 分別為探頭電壓及軸電壓。
根據以上分析,我們可以得出:

通過上述的分析我們可以發現,如果這個軸電壓 U 2 變大,則等效阻抗 Z 就會變小,這跟距離變小在形式上的表現是一樣
的,即都表現為軸振變大。在實際情況中,通過觀察我們發現,當軸電壓變化較大時,往往會引起軸振的晃動現象。因此,我們認為軸電壓的突變會對軸振產生較大的影響。
原因 3:前置放大器受外界電磁干擾也會造成軸振晃動。前置放大器內部含有震蕩、測量、放大等電路,如果外界電磁場突然變強,就會干擾到這些電路的正常工作。原先前置放大器是安裝在塑料盒內的,對于外界電磁不能起到很好的屏蔽作用。雖然前置器本身具備一定的抗干擾能力,但在某些極端情況下是起不到很好的效果的。所以我們認為這也是造成軸振晃動的原因之一。
原因 4:延長線絕緣不好、插頭松動、屏蔽線未接好、接線松動等原因也會造成軸振測量晃動。但在之前的檢查中,我們均未發現類似的問題。因此,我們認為這些不是造成軸振晃動的主要原因。
4 采取措施
通過以上的分析,我們認為造成軸振晃動的主要原因在于油污、軸電壓以及外界電磁干擾的影響。
措施 1:減小油污的影響。可以在傳感器上加絕緣套,并且做好防滲油措施,這就從源頭上切斷油污往外傳導的途徑。但存在的問題是:機務需要在瓦座上重新開孔,需要加工合格絕緣套,實施起來比較復雜,不利于操作。后來我們發現,原探頭電纜從端蓋底部引出,油污容易沿著電纜滲出到端子箱內,同時我們在軸瓦上部外蓋上發現有 2 個備用悶頭,于是我們重新加工帶孔的悶頭,將傳感器同軸電纜從該孔引出到前置放大器。這樣做的好處是電纜從頂部走,可以有效避免滲油問題,而且實施起來比較方便。
措施 2:減小軸電壓的影響。通過對發電機接地碳刷的改造,有效降低了軸電壓的突變狀況。通過觀察發現,軸振晃動的情況也得到了明顯的改善。
措施 3:減小外界電磁干擾的影響。原#6 瓦軸振端子箱是塑料端子箱,通過改造將其更換為金屬端子箱,前置放大器安裝在環氧樹脂板上,從而防止外部信號對前置放大器的干擾。
5 效果分析
通過上述措施的執行,經過一段時間的跟蹤觀察,我們發現,#6、#7 瓦軸振晃動情況明顯改善,滲油情況也得到了有效的控制。所以本次改造取得了很好的效果,有利于機組的穩定可靠運行。
上海自動化儀表有限公司推薦資訊
- 酒店網絡通過公司的SITRAD管理軟件獲得了經2018-01-08
- 高擎制造強國大旗引領技術革新潮流—— 代2025-03-20
- 影響無紙記錄儀氣流的五個最常見原因2019-10-11
- 常規能源:新一代不銹鋼電磁閥的工作原理和應2017-12-16
- 傳感器故障原因和錯誤來源:電纜,線路或連接器2018-05-30
- 詳細解說液體流量計的優點2019-07-13
- WTYK-11B(原WTYK-11)壓力式溫度控制器2019-07-12
- 氣動薄膜套筒調節閥在氣動控制系統中的應用2018-08-06
上海自動化儀表有限公司熱門產品
- 公司以小部件也可在音頻音響的市場占有一席2018-01-06
- 哪種電磁閥適用于燃料應用?2018-06-09
- 稱重傳感器的定制為激光器提供無與倫比的功2018-04-02
- 測量電流的技巧:電阻電路提供了設計的靈活性2018-11-05
- 了解氣動閥門定位器故障的跡象及其解決方案2019-10-30
- 帶您了解使用微差壓變送器的3個優勢2019-10-23
- 電伴熱磁翻柱(板)液位計產品用途及使用方法2017-12-15
- 購買液體流量計時需要問自己的6個問題2019-09-17

