行業資訊
您現在的位置: 上海自動化儀表有限公司 > 新聞發布 > 行業資訊
上海自動化儀表有限公司詳述超聲波流量計的研究與設計
來源:上海自動化儀表有限公司作者:發表時間:2019-03-02 08:56:59【小中大】
摘要:流量儀表作為計量物質量變的工具,在各行各業都發揮著重要的作用。上海自動化儀表有限公司在本文中主要介紹本公司研發的超聲波流量計的設計方法。該超聲波流量計具有士1%的測量精度。
1.引言
在人們日常生活和工業生產過程自動化中,流量是需要經常測量和控制的參數之一。需要檢測的流體媒質的種類不斷增多,檢測的對象從層流到紊流,從單相到多相流,工作條件有各種氣液種類、各種溫度變化、壓強變化等等。人們根據不同測量對象的物理性質,利用不同的物理原理和規律,設計制造出各種類型的流量測量儀表,應用于油、氣、水等資源的計量和工藝流程的控制中,實現了工業生產過程中的自動檢測和控制。在各種流量測量儀表中,超聲波流量計正憑借其自身的優勢成為一種日益受到人們關注、發展勢頭強勁的技術。
相比于傳統的接觸式流量計,超聲波流量計具有以下不可比擬的優點:1.屬于非接觸式測量,測量元件可以安裝在管道外壁,基本上不干擾流暢,無壓力損失,可以測得瞬時流速又不影響系統的正常運行。在這方而相對于壓差流量計、渦街流量計、渦輪流量計和容積式流量計,超聲波流量計具有明顯優勢。2.通用性好,同一臺流量計可以測量不同口徑的管道,只要調整安裝方法即可。3.適應性強,使用范圍廣。它幾乎不受流體物理性質的限制和影響,只要是超聲波能夠傳播的流體即可,能夠應用于流體是高溫、有放射性的場合。4.精度高,目前單通道的精度可以達到士1%,多通道可以達到士(0.5%o 5,測量范圍寬,大多數超聲波流量計可以測量的液體流速范圍是0.1m/s-10m/s。
超聲波流量計的優點已經逐漸被人們所認識,應用場合也不斷擴大,如石油,水處理特別是城市的污水處理,制漿和造紙行業,制藥和化工行業,食品和飲料加工行業等。
2.超聲波流量計測量原理與方法
目前超聲波流量計測量方法主要分為:時差法、多普勒法和互相關法。其中時差法是使用最為普遍的,本設計采用的也是時差法。其測量原理如下:

圖1 時差法原理
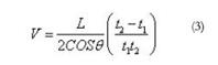
超聲波是一種機械波,其在流體中順流和逆流的傳播速度是不同的,川頁流體方向傳播時速度加快,時間變短;逆流體方向傳播時速度減慢,時間變長。時差法通過測量這個時間差,計算出管道流體的流速,進而在時間上進行積分運算求得累計流量。時差法的關鍵在于準確測定超聲波在兩個換能器之間的傳播時間,適合于管道流體不含雜質或雜質較少的場合。其原理如圖1所示。記:
t1—順流傳播時間
t2—逆流傳播時間
C—聲速
—傳播路徑和管道軸線夾角
L—傳播路徑長
V—流體流速
D—管道直徑
有以下式子:

聯立((1)、(2)式可得:

其中L、D等參數都是管道和傳感器安裝的幾何尺寸參數,可以預先輸入儀表,儀表的關鍵任務在于測量t1和t2。對于單通道超聲波流量計,根據(3)式求得的V只是超聲波傳播路徑上的線平均流速而非管道截面的平均流速,需要乘以一個修正系數k將線平均流速折算為截面平均流速。通常的方式是根據流體動力學模型計算出k值,再通過實驗進行校正。本設計是基于時差法的單通道超聲波流量計。
3.超聲波流量計設計方案
本設計的控$11核心是PC/ 104嵌入式PC模塊。嵌入式PC模塊廣泛用于各種高可靠的智能設備中,其超小尺寸、超低功耗、寬溫特性、單+5V供電,以及一系列針對嵌入式應用的功能擴展,使工程師可以將它視為一個超級芯片。
整個儀表硬件系統框圖如圖2所示。

上海自動化儀表有限公司推薦資訊
- 自儀CCI成功承接惠州太平嶺核電站汽機旁排2023-03-25
- 帶浮球液位控制器連接方便、操作平穩是水平2018-08-17
- 利用壓力傳感器提高工業設備性能的2種方法2019-09-24
- 防腐熱電阻2017-11-14
- 裝配熱電偶2017-11-14
- 磁致伸縮液位計的適應范圍及維修方法2017-12-12
- 如何在工業管道應用中選擇球閥的案例分析2019-07-19
- ZMBT-10氣動薄膜隔膜調節閥2018-04-03
上海自動化儀表有限公司熱門產品
- 闡述浮球液位開關獨特的測量優勢2017-12-12
- 公司召開2010年度經濟責任任務書簽約會議—2025-04-01
- 高擎制造強國大旗引領技術革新潮流—— 代2025-03-20
- D520/7DDZ雙觸點壓力控制器2019-07-12
- IP67多色處理指示器,現在可以從感測器中獲得2018-01-15
- 6個經濟實惠的氣動解決方案,以實現安全應用2018-07-31
- 影響電磁流量計天然氣計量誤差的主要因素2017-12-16
- 渦街流量計的測量精度介紹2017-12-15

